組織生成論

University
2024
Author

Serika Yuzuki

Published

April 8, 2024

\[ \require{physics} \]

ノート

熱力学的駆動力

熱力学的駆動力は、液体→固体へ相変化が起こるときのモル体積あたりの自由エネルギー差である。

\[ \Delta G_v \triangleq \frac{\Delta G_m}{V_m} \]

ここで、\(\Delta G_m\) が負であれば、固体化へ自発的に進むことになる。

では、融点付近での動きを見てみることにする。まず、融点においては、固体と液体が平衡にあるので、

\[ \Delta G_v = 0 \]

これが融点の定義でもある。なので、

\[ \Delta S_{\mathrm{fus}} = \frac{\Delta H_{\mathrm{fus}}}{T_m} \]

となるのだが、これってのは融点付近の \(\Delta S\) 自体の近似値として使用可能。なので、

\[ \Delta G_v = \frac{\Delta H_{\mathrm{fus}}}{V_m} \frac{T_m - T}{T_m} = \frac{\Delta H_{\mathrm{fus}}}{V_m} \frac{\Delta T}{T_m} \]

となる。で、ここまでの議論でかなり重要な話だが、 \(\Delta H_{\mathrm{fus}}\) の符号は基本的に負だ。そりゃあ凝固してるんだから。ただし!! これが融解エンタルピー、つまり、凝固に伴うエンタルピー変化を逆から見て符号を変えたものの時は、マイナスをつけよう。

講義資料では深く触れられていなかったため、まじで注意!!

核生成

液相中に古層の角が生成する時、自由エネルギー変化は次のように表される。

\[ \Delta G = -V_s \Delta G_v + A \sigma_{SL} \]

ここで、\(V_s\) は核の体積、\(\Delta G_v\) は核の体積の自由エネルギー、\(A\) は核の表面積、\(\sigma_{SL}\) は核の界面エネルギーである。

熱力学的駆動力は過冷却の温度差に比例する。

\[ \Delta G = \frac{\Delta H_f\Delta T}{T_m} \]

ここで、核生成の自由エネルギーを考えると、

\[ \begin{aligned} \Delta G &= -V_s \Delta G_v + A \sigma_{SL} \\ &= -\frac{4}{3}\pi r^3 \Delta G_v + 4\pi r^2 \sigma_{SL} \\ \end{aligned} \]

ここで、\(r\) は核の半径である。\(r^3\) を考えれば、一度核ができればどんどん大きくなった方が安定する。ここで、

\[ \pdv{\Delta G}{r} = 0 \]

となるような \(r\) を臨界半径と呼ぶ。これを解くと、

\[ r^* = \frac{2\pi \sigma_{SL}}{\Delta G_v} \]

これを代入すると、

\[ \Delta G^* = \frac{16\pi \sigma_{SL}^3}{3\Delta G_v^2} \]

これにさらに

\[ \Delta G_v = \frac{\Delta H_m \Delta T}{T_m} \]

を代入すると、

\[ \Delta G^* = \frac{16\pi \sigma_{SL}^3 T_m^2}{3\Delta H_m^2 } \frac{1}{\Delta T^2} \]

となり、過冷却状態だと、臨界半径における自由エネルギーはその過冷却温度の二乗の逆数に比例する。

以上の議論を別方向からもできて、界面生成に必要なエネルギーは次のように表される。

\[ \begin{aligned} E_{Int} &= 4\pi r^2 \sigma_{SL} \\ \dv{E}{V} &= \frac{2\sigma_{SL}}{r}\\ \frac{\Delta G}{\Delta V} &= \Delta G_v + \frac{2\sigma_{SL}}{r^*} = 0 \\ r^* &= \frac{2\sigma_{SL}}{|\Delta G_v|} \end{aligned} \]

表面エネルギー

同一原子群に関しては、次のような式が成り立つ。

\[ \sigma_{AV} = \frac{Zm_1}{\omega} \frac{\epsilon_{AA}}{2} \]

ここで、 \(Z\) は配位数 \(m_1\) は Broken bondの割合の数、 \(\omega\) は原子一個あたりの面積で、 \(\epsilon_{AA}\) は原子間の結合エネルギーである。

また、表面エネルギーは昇華熱に比例する。

次に、別々の原子群に関しては、次のような式が成り立つ。

\[ \sigma_{AB} = \frac{Zm_1}{\omega} \left\{ \epsilon_{AB} - \frac{\epsilon_{AA}+\epsilon_{BB}}{2} \right\} \]

Scheil の式

この式の理解には特に時間がかかったので、ゆっくり私の理解したところを述べていく。

まず、この式が考えているのは、ある金属合金を液体から凝固させていくときのことである。理想論で言えば、十分ゆっくり時間をかけて凝固すれば、合金内の組織というのは状態図から読み取ったものが均一に広がるものになるのだが、現実的には十分ゆっくり冷えることは少ない。

そこで、凝固の途中の状態について知ろう! ってわけだ。とはいえ、わかることってのは少ないから、まずは仮定から始めることによって、何がわかるのかを考え始めることになるわけだ。

Show Code
import numpy as np
import numpy as np
import matplotlib.pyplot as plt

# --- ヘルパー関数 ---
def bezier_curve(P, Q, offset_y, t):
    """2次ベジェ曲線を返す"""
    mid = (P + Q) / 2
    C = mid + np.array([0, offset_y])
    return np.outer((1 - t)**2, P) + np.outer(2*(1 - t)*t, C) + np.outer(t**2, Q)

def line_interpolate(P, Q, x=None, y=None):
    """
    直線上の補間
    x 指定 → y,  y 指定 → x
    """
    x0, y0 = P
    x1, y1 = Q
    if x is not None and y is None:
        return y0 + (y1 - y0) / (x1 - x0) * (x - x0)
    if y is not None and x is None:
        return x0 + (x1 - x0) / (y1 - y0) * (y - y0)
    raise ValueError("x か y のどちらか片方を指定")

# --- 主要点の設定 ---
A       = np.array([  6,  300])
point0  = np.array([ 20,  800])
point1  = np.array([  0, 1200])
point2  = np.array([ 60,  800])
point3  = np.array([100,  960])
point4  = np.array([ 90,  800])
B       = np.array([ 96,  300])

# ベジェ曲線の定義
segments = [
    (A,      point0, 0),
    (point0, point1, 0),
    (point1, point2, 0),
    (point2, point3, 0),
    (point3, point4, 0),
    (point4, B,      0),
]
t = np.linspace(0, 1, 300)
curves = [bezier_curve(P, Q, off, t) for P, Q, off in segments]

# --- プロット ---
fig, ax = plt.subplots(figsize=(8, 6))
ax.set_xlim(0, 100)
ax.set_ylim(300, 1300)
ax.set_xlabel('B (wt%)')
ax.set_ylabel('Temperature (°C)')
ax.set_title('Combined Phase Diagram')

# ベジェ曲線描画
for curve in curves:
    ax.plot(curve[:,0], curve[:,1], lw=2)

# point0-point4 の直線
ax.plot([point0[0], point4[0]], [point0[1], point4[1]], 
        linestyle='-', color='black', lw=1)

plt.tight_layout()
plt.show()

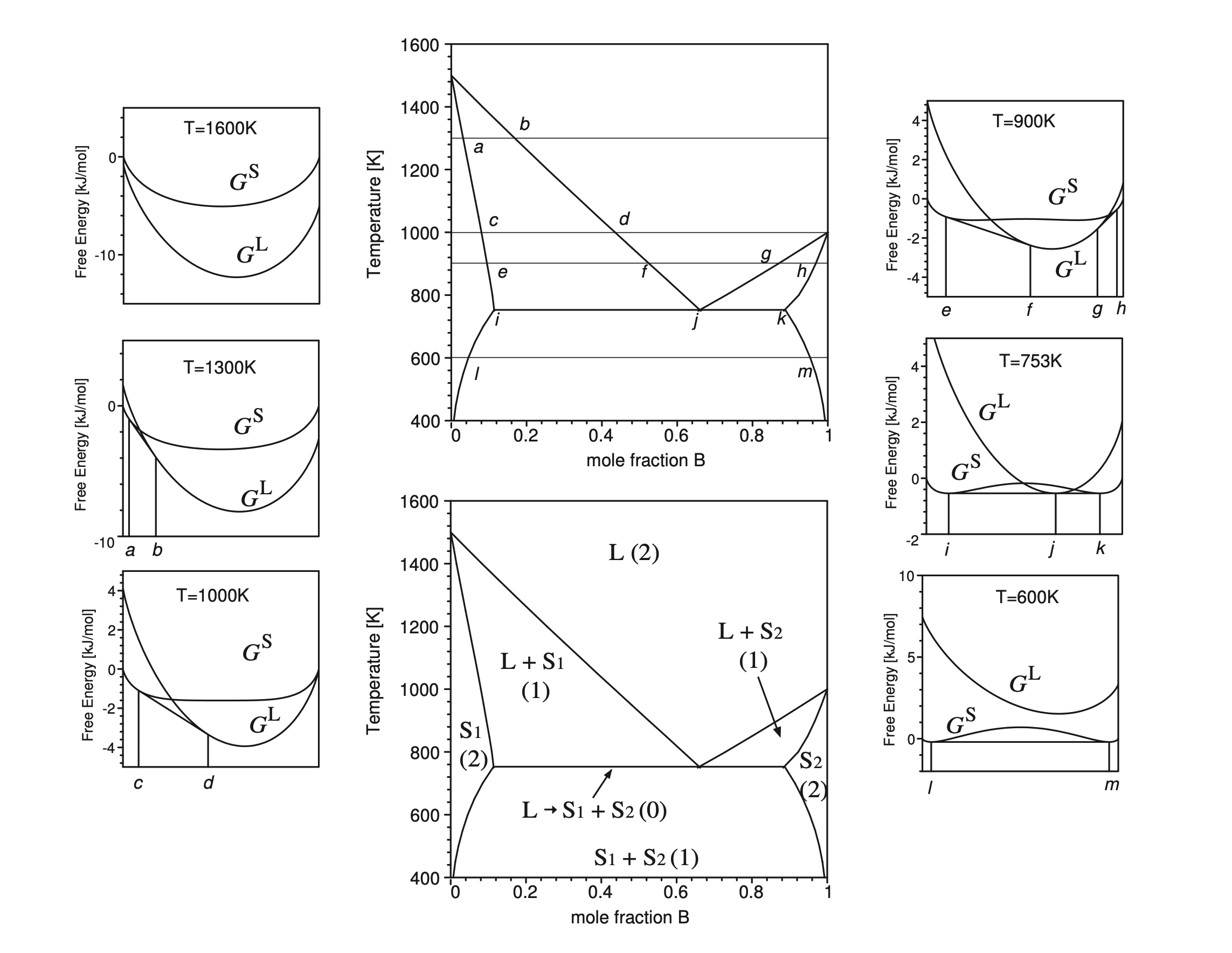
状態図のこの色とりどりの線を見てみてほしい。何と直線ではないか! 当然だけど曲線だよね。うん。けど、直線で近似ができるってわけだ。

ってことは、ある温度における、固液平衡状態での、固相と液相の溶質組成比ってのは一定になるわけだ。 \(T = a\text{ratio}_1+b, T = a'\text{ratio}_2 +b \rightarrow \text{ratio}_1/\text{ratio}_2 = a'/a = \text{Const.}\) ということになる。

次に、この比が固液平衡状態でずーっと保持され続けるのだから、凝固の途中の界面では局所的にもこの比が維持される。つまり、

\[ \frac{c_\mathrm{s}}{c_\mathrm{l}} = \frac{\text{ratio}_1}{\text{ratio}_2} = \text{Const.} \]

ということになる。ここで \(c_\mathrm{s}\) は固相中の溶質組成、 \(c_\mathrm{l}\) は液相中の溶質組成である。

\[ \frac{c_\mathrm{s}}{c_\mathrm{l}} \triangleq k \]

という平衡分配係数を定義できるわけだ。ここまではミクロの話。

次にマクロな話として、急速に冷やされているわけだから、固相内で溶質の拡散は全然行えていないという前提を考える。つまり、一度固まった中に溶質は入り込まず、溶質の収支は界面での変化だけを考えればいいという前提だ。

固相内溶質濃度 \(c_\mathrm{s}, c_\mathrm{l}\) は、都度変化するので注意! 状態図からもわかるけど、これは変わり続ける値だしね。ただ、そのマクロである溶質濃度の変化が起きるのが、ミクロ界面での溶質の収支だけだという想定だ。ここまでの話で分かる通り、濃度は均一と考えている。

ただしここで重要なこととして、\(c_\mathrm{l}\) ってのは液相として界面にずーっと存在するけど、 \(c_\mathrm{s}\) ってのは濃度としてずーっと界面に存在するわけじゃない。新たに固相が生成されると、そこには新たな \(c_\mathrm{s}\) の溶質の界面が存在するわけだ。凝固したものの表面がどんどん塗り替えられていっているということだね。

マクロとミクロを反復横跳びしているが、頑張ってついてきてね〜!

で、その固相内溶質濃度ってのは、どんな収支をするかというと、液体の中のものが減って、固相の中のものが増えるという単純な話。つまり、液相と固相の組成比を \(f_\mathrm{l}, f_\mathrm{s}\) とすると、

\[ -c_\mathrm{s} \dd f_\mathrm{s} = \dd (c_\mathrm{l} f_\mathrm{l}) \]

ということになる。ここで、\(c_\mathrm{l}\) は液相中の溶質濃度である。まだ納得いかない? 何で \(- \dd (c_\mathrm{s} f_\mathrm{s}) = \dd (c_\mathrm{l} f_\mathrm{l})\) じゃないの? うんうん、分かるよその疑問! 私もかなり引っかかった。けどこう考えればいい。

\[ \dd (c_\mathrm{s} f_\mathrm{s}) = c_\mathrm{s} \dd f_\mathrm{s} + f_\mathrm{s} \dd c_\mathrm{s} \]

これだと、固体内での溶質濃度の変化があることを表している。これは考えていた前提と違うよね。だって、拡散しないって話だったから。つまり、 \(\dd c_\mathrm{s} = 0\) なんだよ!

よし、それじゃあ、この微分方程式を解いていこう!

\[ \begin{aligned} -c_\mathrm{s} \dd f_\mathrm{s} &= \dd (c_\mathrm{l} f_\mathrm{l}) \\ - k c_\mathrm{l} \dd f_\mathrm{s} &= -c_\mathrm{l} \dd f_\mathrm{s} + (1-f_\mathrm{s}) \dd c_\mathrm{l} \\ (1 - k) c_\mathrm{l} \dd f_\mathrm{s} &= (1-f_\mathrm{s}) \dd c_\mathrm{l} \\ (1 - k) \frac{\dd f_\mathrm{s}}{1-f_\mathrm{s}} &= \frac{\dd c_\mathrm{l}}{c_\mathrm{l}} \\ - (1-k) \ln (1-f_\mathrm{s}) &= \ln c_\mathrm{l} + \text{const} \\ c_\mathrm{l} &= c_{0} (1-f_\mathrm{s})^{k-1} \\ c_\mathrm{s} &= kc_{0} (1-f_\mathrm{s})^{k-1} \end{aligned} \]

さあ、こんな式が出てきて何に役に立つの? って話だ。それは、凝固進行度 \(f_\mathrm{s}\) に対して界面での固相濃度が一発で分かるところだ!

デンドライト成長

ところがScheilのモデルっていうのは、どんどん固まっていく過程の中、液相内での溶質濃度は一定と考えているわけなんだけど、ある程度以上の凝固速度に達すると、溶質濃度は局所的にものすっごく高くなるはずだ。つまり、 \(k = \frac{c_\mathrm{s}}{c_\mathrm{l}} <1\) ってなる。

こうなると、界面でものすっごく高い濃度の状態が出来上がり、濃度が高くなる分、凝固点も降下する。そのせいで、過冷却状態が生じるのだ。

その結果、凸凹な界面の、突出した部分の先端ではさらに凝固点降下が起きて、速く凝固し、逆に凹んだ部分では突出した部分よりも遅く凝固する。結果、樹枝状の成長を見せることになる。これをデンドライト成長と呼んでいる。

その条件とは、答えだけでいえばこれだ。

\[ \frac{D}{V} \frac{G}{\Delta T} > 1 \]

\(D\) は拡散係数、 \(V\) は凝固速度、 \(G\) は温度勾配、 \(\Delta T\) はある組成における液相線と固相線の差である。

JMAK 式

微粒子の再結晶の速度についての理論。

ランダムな場所からどんどん核ができて、それの体積が増えているという仮定のもと、その体積を \(V_\mathrm{ex}\) として、結晶化の割合というのは、

\[ f = 1 - \exp \left( - \frac{V_\mathrm{ex}}{V_\mathrm{0}} \right) \]

ここで、\(V_\mathrm{0}\) は初期の総体積である。何でこんな式になるかというと、これから考える \(V_\mathrm{ex}\) ってのは、かぶることを前提として考えるものだからだ。

で、その件の \(V_\mathrm{ex}\) ってのは、

\[ V_\mathrm{ex} = \int_0^t I \frac{4}{3} \pi r^3 \dd \tau = \int_0^t I \frac{4}{3} \pi \qty{G(t-\tau)}^3 \dd \tau = \frac{\pi}{3} IG^3 t^4 \]

って感じになる。

過去問

2024年度

問1

Show Code
import numpy as np
import numpy as np
import matplotlib.pyplot as plt

# --- ヘルパー関数 ---
def bezier_curve(P, Q, offset_y, t):
    """2次ベジェ曲線を返す"""
    mid = (P + Q) / 2
    C = mid + np.array([0, offset_y])
    return np.outer((1 - t)**2, P) + np.outer(2*(1 - t)*t, C) + np.outer(t**2, Q)

def line_interpolate(P, Q, x=None, y=None):
    """
    直線上の補間
    x 指定 → y,  y 指定 → x
    """
    x0, y0 = P
    x1, y1 = Q
    if x is not None and y is None:
        return y0 + (y1 - y0) / (x1 - x0) * (x - x0)
    if y is not None and x is None:
        return x0 + (x1 - x0) / (y1 - y0) * (y - y0)
    raise ValueError("x か y のどちらか片方を指定")

# --- 主要点の設定 ---
A       = np.array([  1,  300])
point0  = np.array([ 10,  800])
point1  = np.array([  0, 1180])
point2  = np.array([ 60,  800])
point3  = np.array([100, 1080])
point4  = np.array([ 90,  800])
B       = np.array([ 98,  300])

# ベジェ曲線の定義
segments = [
    (A,      point0, 100),
    (point0, point1, 100),
    (point1, point2, 150),
    (point2, point3, 100),
    (point3, point4, 100),
    (point4, B,      100),
]
t = np.linspace(0, 1, 300)
curves = [bezier_curve(P, Q, off, t) for P, Q, off in segments]

# --- プロット ---
fig, ax = plt.subplots(figsize=(8, 6))
ax.set_xlim(0, 100)
ax.set_ylim(300, 1300)
ax.set_xlabel('B (wt%)')
ax.set_ylabel('Temperature (°C)')
ax.set_title('Combined Phase Diagram')

# ベジェ曲線描画
for curve in curves:
    ax.plot(curve[:,0], curve[:,1], color='black', lw=2)

# point0-point4 の直線
ax.plot([point0[0], point4[0]], [point0[1], point4[1]], 
        linestyle='-', color='black', lw=1)

# 水平線 y=900
y_h = 900
ax.axhline(y=y_h, linestyle='--', color='gray')

# y=900 とベジェ曲線の交点
for curve in curves:
    xs, ys = curve[:,0], curve[:,1]
    idx = np.where((ys[:-1]-y_h)*(ys[1:]-y_h) <= 0)[0]
    for i in idx:
        x0, y0 = xs[i], ys[i]
        x1, y1 = xs[i+1], ys[i+1]
        x_cross = x0 + (y_h-y0)/(y1-y0)*(x1-x0)
        ax.scatter(x_cross, y_h, color='red')
        ax.annotate(f'({x_cross:.1f}, {y_h})', (x_cross, y_h),
                    textcoords='offset points', xytext=(5,5))

# 垂直線 x=20, 60
x_lines = [20, 60]
for x_v in x_lines:
    ax.axvline(x=x_v, linestyle='--', color='gray')
    # 交点計算
    for curve in curves:
        xs, ys = curve[:,0], curve[:,1]
        idx = np.where((xs[:-1]-x_v)*(xs[1:]-x_v) <= 0)[0]
        for i in idx:
            x0, y0 = xs[i], ys[i]
            x1, y1 = xs[i+1], ys[i+1]
            # 線形補間
            y_cross = y0 + (y1-y0)/(x1-x0)*(x_v-x0)
            ax.scatter(x_v, y_cross, color='blue')
            ax.annotate(f'({x_v}, {y_cross:.1f})', (x_v, y_cross),
                        textcoords='offset points', xytext=(5,-10))

plt.tight_layout()
plt.show()

  1. A–20 wt % B 合金を 1200 °C で長時間保持し、その後十分ゆっくりと冷却した。

    1. 固相の晶出が始まる温度
    2. 液相が完全になくなる温度
    3. 最終的に得られる組織中の共晶組織の割合
  2. 60 wt % B 合金を 1200 °C で長時間保持し、その後ゆっくりと冷却した。 時間に対する温度変化を表すグラフを模式的に描け。

  3. A–20 wt % B 合金と A–60 wt % B 合金の冷却過程におけるそれぞれの組織の模式図を、以下の各温度について描け。

    • 1000 °C
    • 800 °C 直上
    • 800 °C 直下
  4. 900 °C における L、α、β 各相の自由エネルギー曲線を、

    • 相平衡を表す共通接線と共に描け。
    • 相図中の組成 P、Q、R、S を自由エネルギー曲線図中に示せ。

ここらの理論については、Fukumi (2014) や解答で載せた資料を参考にすれば非常によく理解できるはず。というか、試験内容のうち、京商などに関連する内容はほぼ全てこれを読めばなんとかなるはず。

あまりこういうことは言いたくないけど、完全上位互換な資料が山ほど世の中で転がっている中で、これらの活用をしないのは仕方なきにしても、あまつさえ自身の講義資料すら公開しないような講義の仕方をする講師の方たちというのはいかがなものかね。それに、非常に質の良い資料を商業化するためにクローズドソースにすることを選択するのは仕方なきにしても、いつかインターネットの肥やしになるくらいならば、いっそGitHubなどに公開して欲しいものだ。

  1. 晶出は \(1120 {}^\circ\text{C}\) で始まる。それからどんどん晶出が続いて \(800 {}^\circ\text{C}\) で液相がなくなる。最終的に得られる共晶組織の割合は、\(10/50 = 20\%\) である。このうちの \(\alpha\) 相の割合は、\(20\% \times 30 / 80 = 7.5\%\) であり、\(\beta\) 相の割合は、\(20\% \times 50 / 80 = 12.5\%\) である。これについては、ギリギリまで液相だったものが共晶として析出して、その割合がテコの原理で 60% のところを見ることになる。

  2. このダイアグラムを \(\LaTeX\) などで書くのは相当面倒なので、 亀川厚則 (Unknown) から引用した図を以下に示す。

冷却過程における温度変化
  1. このダイアグラムを \(\LaTeX\) などで書くのは相当面倒なので、 Toshihiro (2008) から引用した図を以下に示す。

共晶組織の冷却過程
  1. 四苦八苦して動かせるグラフをplotlyで書いてやろうかと思ってたのだが、すっごく綺麗な資料があったので、西谷滋人 (2005) を参考してほしい。

自由エネルギー曲線

問2

A. ある純金属の融解エンタルピー(\(\Delta H_{\mathrm{ml}}\))は \(10 \mathrm{kJ \cdot mol^{-1}}\)、融点は \(T_m = 1500 \mathrm{K}\) である。また、モル体積は \(V_m = 6 \times 10^{-6} \mathrm{m^3 \cdot mol^{-1}}\) とする。

  1. この金属の融解エントロピー \(\Delta S_{\mathrm{ml}}\) を求めよ。
  2. この金属を完全に融解した後、融点より 100 K 低い温度(\(T = T_m - 100 \mathrm{K}\))に冷却・保持したとき、固体生成の熱力学的駆動力 \(\Delta G_{\mathrm{v}}\) を求めよ。
  3. この金属の固液界面エネルギーを \(\gamma = 0.18 \mathrm{J \cdot m^{-2}}\) とする。 2.の条件下で球状の固体核が液中に生成するときの臨界半径 \(r^*\) を求めよ。

B. 多結晶固体中の核生成はしばしば粒界で起こる。この理由を約100字程度で説明せよ。

  1. 等温、等圧過程なので、ギブスエネルギーを考えればいい。

\[ \Delta G = \Delta H - T\Delta S \]

TODO:いずれ熱力学ポテンシャルについての総合的な記事を書く。

  1. 熱力学的駆動力は、Section 1.1 で述べたように、 \[ \Delta G_v = \frac{\Delta H_{\mathrm{fus}}}{V_m} \frac{\Delta T}{T_m} \] ただし、注意として、 \(\Delta H_{\mathrm{ml}} = - \Delta H_{\mathrm{fus}}\) である。

  2. 臨界半径などの話は ?@sec-homogeneous-nucleation を参照。 \[ r^* = \frac{2\sigma_{SL}}{\Delta G_v} \] ここで、\(\Delta G_v\) は熱力学的駆動力、\(\sigma_{SL}\) は核の界面エネルギーである。

    1. 固体と液体が並行状態にあるので、 \[ \begin{aligned} \Delta G_{\mathrm{ml}} &= \Delta H_{\mathrm{ml}} - T\Delta S_{\mathrm{ml}} = 0 \\ \Delta S_{\mathrm{ml}} &= \frac{\Delta H_{\mathrm{ml}}}{T_m} = \frac{10 \mathrm{kJ \cdot mol^{-1}}}{1500 \mathrm{K}} = 6.67 \mathrm{kJ \cdot mol^{-1} \cdot K^{-1}} \end{aligned} \]

    2. \(\Delta T = -100 \mathrm{K}\) なので、 \[ \Delta G_v = - \frac{10 \mathrm{kJ \cdot mol^{-1}}}{6 \times 10^{-6} \mathrm{m^3 \cdot mol^{-1}}} \frac{100 \mathrm{K}}{1500 \mathrm{K}} = -1.11 \times 10^{5} \mathrm{kJ \cdot m^{-3}} \]

Show Code
import numpy as np

# 定数
T_m = 1500 # K
V_m = 6e-6 # m^3/mol
H_ml = 10 # kJ/mol

# 計算
T = T_m - 100
G_v = - H_ml / V_m * (T_m - T) / T_m

print(f"熱力学的駆動力: {G_v:.2f} kJ/m^3")
熱力学的駆動力: -111111.11 kJ/m^3
3. 式は以下の通り。

\[ r^* = \frac{2 \times 0.18 \mathrm{J \cdot m^{-2}}}{-1.11 \times 10^{5} \mathrm{kJ \cdot m^{-3}}} = 3.2 \times 10^{-9} \mathrm{m} \]

Show Code
import numpy as np

# 定数
sigma_SL = 0.18 # J/m^2
G_v = -1.11e8 # J/m^3

# 計算
r_star = 2 * sigma_SL / G_v
print(f"臨界半径: {r_star:.2e} m")
臨界半径: -3.24e-09 m

B. 粒界は格子歪みや欠陥が集中して界面エネルギーが高く、その結果、核生成に必要な自由エネルギー障壁が低下し、かつ原子拡散が促進されるため、多結晶中ではまず粒界で核生成が起こりやすい。

問3

二元系合金 A–B の状態図を図2に示す。A–12 wt% B 合金の凝固過程について検討したい。液相線、固相線、相境界をすべて直線と仮定して、以下の問いに答えよ。

Show Code
import numpy as np
import numpy as np
import matplotlib.pyplot as plt

# --- ヘルパー関数 ---
def bezier_curve(P, Q, offset_y, t):
    """2次ベジェ曲線を返す"""
    mid = (P + Q) / 2
    C = mid + np.array([0, offset_y])
    return np.outer((1 - t)**2, P) + np.outer(2*(1 - t)*t, C) + np.outer(t**2, Q)

def line_interpolate(P, Q, x=None, y=None):
    """
    直線上の補間
    x 指定 → y,  y 指定 → x
    """
    x0, y0 = P
    x1, y1 = Q
    if x is not None and y is None:
        return y0 + (y1 - y0) / (x1 - x0) * (x - x0)
    if y is not None and x is None:
        return x0 + (x1 - x0) / (y1 - y0) * (y - y0)
    raise ValueError("x か y のどちらか片方を指定")

# --- 主要点の設定 ---
A       = np.array([  6,  300])
point0  = np.array([ 20,  800])
point1  = np.array([  0, 1200])
point2  = np.array([ 60,  800])
point3  = np.array([100,  960])
point4  = np.array([ 90,  800])
B       = np.array([ 96,  300])

# ベジェ曲線の定義
segments = [
    (A,      point0, 0),
    (point0, point1, 0),
    (point1, point2, 0),
    (point2, point3, 0),
    (point3, point4, 0),
    (point4, B,      0),
]
t = np.linspace(0, 1, 300)
curves = [bezier_curve(P, Q, off, t) for P, Q, off in segments]

# --- プロット ---
fig, ax = plt.subplots(figsize=(8, 6))
ax.set_xlim(0, 100)
ax.set_ylim(300, 1300)
ax.set_xlabel('B (wt%)')
ax.set_ylabel('Temperature (°C)')
ax.set_title('Combined Phase Diagram')

# ベジェ曲線描画
for curve in curves:
    ax.plot(curve[:,0], curve[:,1], color='black', lw=2)

# point0-point4 の直線
ax.plot([point0[0], point4[0]], [point0[1], point4[1]], 
        linestyle='-', color='black', lw=1)

# 垂直線 x=20, 60
x_lines = [12, 20, 60, 90]
for x_v in x_lines:
    ax.axvline(x=x_v, linestyle='--', color='gray')
    # 交点計算
    for curve in curves:
        xs, ys = curve[:,0], curve[:,1]
        idx = np.where((xs[:-1]-x_v)*(xs[1:]-x_v) <= 0)[0]
        for i in idx:
            x0, y0 = xs[i], ys[i]
            x1, y1 = xs[i+1], ys[i+1]
            # 線形補間
            y_cross = y0 + (y1-y0)/(x1-x0)*(x_v-x0)
            ax.scatter(x_v, y_cross, color='blue')
            ax.annotate(f'({x_v}, {y_cross:.1f})', (x_v, y_cross),
                        textcoords='offset points', xytext=(5,-10))

plt.tight_layout()
plt.show()

  1. 凝固が平衡凝固ではなく、溶質 B が液相中で均一、固相中で拡散しないと仮定すると、Scheil の式の溶質分布の仮定が成り立つ。界面が微小量移動した際の溶質のつり合いを考えることで、Scheil の式を導出し、固液界面における固相中の濃度 \(c_s\) を固相分率 \(f_s\) および分配係数 \(k\) で表せ。

    1. の凝固の途中で固相が 50% になった時点で、未凝固の液体部分を捨てた。
      固相中の溶質 B の平均濃度は何 % か。
  2. この合金を一方向から凝固させたとき、凝固の界面が平滑となる(デンドライト凝固しない)凝固速度範囲を求めよ。
    ただし、この合金の液相中の溶質 B の拡散定数は
    \[ D = 1\times10^{-9}\,\mathrm{m^2 \cdot s^{-1}} \] であり、一方向凝固の固液界面前方の温度勾配は
    \[ G = 2\times10^6\,\mathrm{K \cdot m^{-1}} \] である。

Scheilの式は、Section 1.4 で述べた。かなり頑張って書いたので記事を読んでほしいが、とりあえず問題を解くだけなら

\[ c_\mathrm{s} \dd f_\mathrm{s} = \dd (c_\mathrm{l} f_\mathrm{l}) \]

という式を解けばいい。

  1. については Section 1.5 を参照。詳しくは……誰か書いてくれ。
  1. 式は以下の通り。 $$ \begin{aligned} -c_ f_ &= (c_ f_) \
  • k c_ f_ &= -c_ f_ + (1-f_) c_ \ (1 - k) c_ f_ &= (1-f_) c_ \ (1 - k) &= \
  • (1-k) (1-f_) &= c_ + \ c_ &= c_{0} (1-f_)^{k-1} \ c_ &= kc_{0} (1-f_)^{k-1} \end{aligned} $$
  1. 式は以下の通り。 まず、\(k\) はグラフから読み取ると、\(k = 1/3\) である。 \[ \begin{aligned} \bar{c}_\mathrm{s} &= \frac{1}{f_\mathrm{s}} \int_0^{f_\mathrm{s}} c_\mathrm{s} \dd f_\mathrm{s} \\ &= \frac{1}{f_\mathrm{s}} \int_0^{f_\mathrm{s}} kc_{0} (1-f_\mathrm{s})^{k-1} \dd f_\mathrm{s} \\ &= \dfrac{kc_{0}}{f_\mathrm{s}} \left[ - \frac{ (1-f_\mathrm{s})^{k} }{k} \right]_0^{f_\mathrm{s}} \\ &= \dfrac{c_{0}}{f_\mathrm{s}} \left( 1 - (1-f_\mathrm{s})^{k} \right) \end{aligned} \] ここで \(c_0 = 20 \mathrm{wt\%}, f_\mathrm{s} = 0.5\) を代入すると、 \[ \bar{c}_\mathrm{s} = \dfrac{20}{0.5} \left( 1 - (1-0.5)^{1/3} \right) \approx 8.25 \mathrm{wt\%} \]
Show Code
import numpy as np

# 定数
c_0 = 20 # wt%
f_s = 0.5

# 計算
c_s = c_0 / f_s * (1 - (1-f_s)**(1/3))

print(f"固相中の溶質 B の平均濃度: {c_s:.2f} wt%")
固相中の溶質 B の平均濃度: 8.25 wt%
  1. 式は以下の通り。 \[ \frac{D}{V} \frac{G}{\Delta T} > 1 \] ここで、 \(\Delta T = 160 \mathrm{K}\) なので、 \[ \frac{1 \times 10^{-9} \mathrm{m^2 \cdot s^{-1}}}{V} \frac{2 \times 10^6 \mathrm{K \cdot m^{-1}}}{160 \mathrm{K}} > 1 \] \[ \frac{1}{V} > 1.25 \times 10^{-6} \mathrm{s^{-1}} \] \[ V < 8 \times 10^5 \mathrm{K \cdot m \cdot s^{-1}} \]

問4

Show Code
import numpy as np
import matplotlib.pyplot as plt

# --- ヘルパー関数 ---
def bezier_curve(P, Q, offset_y, t):
    """2次ベジェ曲線を返す"""
    mid = (P + Q) / 2
    C = mid + np.array([0, offset_y])
    return np.outer((1 - t)**2, P) + np.outer(2*(1 - t)*t, C) + np.outer(t**2, Q)

def line_interpolate(P, Q, x=None, y=None):
    """
    直線上の補間
    x 指定 → y,  y 指定 → x
    """
    x0, y0 = P
    x1, y1 = Q
    if x is not None and y is None:
        return y0 + (y1 - y0) / (x1 - x0) * (x - x0)
    if y is not None and x is None:
        return x0 + (x1 - x0) / (y1 - y0) * (y - y0)
    raise ValueError("x か y のどちらか片方を指定")

# --- 主要点の設定 ---
A       = np.array([0.025,  600])
point0  = np.array([ 0.03,  700])
point1  = np.array([  0, 1000])
point2  = np.array([ 0.93,  700])
point3  = np.array([1,  960])
point4  = np.array([ 2,  700])
B       = np.array([ 2,  300])

# ベジェ曲線の定義
segments = [
    (A,      point0, 0),
    (point0, point1, 0),
    (point1, point2, 0),
    (point2, point3, 0),
    (point3, point4, 0),
    (point4, B,      0),
]
t = np.linspace(0, 1, 300)
curves = [bezier_curve(P, Q, off, t) for P, Q, off in segments]

# --- プロット ---
fig, ax = plt.subplots(figsize=(8, 6))
ax.set_xlim(0, 1)
ax.set_ylim(600, 1100)
ax.set_xlabel('B (wt%)')
ax.set_ylabel('Temperature (°C)')
ax.set_title('Combined Phase Diagram')

# ベジェ曲線描画
for curve in curves:
    ax.plot(curve[:,0], curve[:,1], color='black', lw=2)

# point0-point4 の直線
ax.plot([point0[0], point4[0]], [point0[1], point4[1]], 
        linestyle='-', color='black', lw=1)

# 水平線
y_lines = [800, 929]
for y_h in y_lines:
    ax.axhline(y=y_h, linestyle='--', color='gray')
    # 交点計算
    for curve in curves:
        xs, ys = curve[:,0], curve[:,1]
        idx = np.where((ys[:-1]-y_h)*(ys[1:]-y_h) <= 0)[0]
        for i in idx:
            x0, y0 = xs[i], ys[i]
            x1, y1 = xs[i+1], ys[i+1]
            x_cross = x0 + (y_h-y0)/(y1-y0)*(x1-x0)
            ax.scatter(x_cross, y_h, color='red')
            ax.annotate(f'({x_cross:.2f}, {y_h})', (x_cross, y_h),
                        textcoords='offset points', xytext=(5,5))

# 垂直線
x_lines = [0.03, 0.93, 0.22]
for x_v in x_lines:
    ax.axvline(x=x_v, linestyle='--', color='gray')
    # 交点計算
    for curve in curves:
        xs, ys = curve[:,0], curve[:,1]
        idx = np.where((xs[:-1]-x_v)*(xs[1:]-x_v) <= 0)[0]
        for i in idx:
            x0, y0 = xs[i], ys[i]
            x1, y1 = xs[i+1], ys[i+1]
            # 線形補間
            y_cross = y0 + (y1-y0)/(x1-x0)*(x_v-x0)
            ax.scatter(x_v, y_cross, color='blue')
            ax.annotate(f'({x_v}, {y_cross:.2f})', (x_v, y_cross),
                        textcoords='offset points', xytext=(5,-10))

plt.tight_layout()
plt.show()

二元系合金 C–D の拡大状態図を示す(相境界はすべて直線と仮定する)。
この合金には 半径 \(r_p = 100\ \text{nm}\) の微細酸化物粒子が \(N = 3 \times 10^{17}\ \text{m}^{-3}\) の割合で一様分散しており、下記の各プロセス中に粒子は成長しないものとする。
微粒子は固相変態の不均一核生成核にはならないが、\(\beta\) 相の粒成長をピン止めする。

  1. 粒成長

この合金を室温から加熱して \(\beta\) 単相とした。

  • 初期平均粒径(直径)     : \(d_0 = 3\ \mu\text{m}\)
  • 同温度で 10 s 等温保持後    : \(d = 30\ \mu\text{m}\)

同じ温度で保持を続け,保持開始から 200 s 後の平均粒径を求めよ。

  1. 拡散変態(β → α)

組成 C–0.22 wt % D の合金を高温から急冷し、800 °C で保持したところ、
\(\beta\) 粒界から \(\alpha\) 相が拡散変態により生成し、平滑な界面で粒内へ一次元的に成長した。 Zener の線形勾配近似が適用できるとする。

  1. 変態開始から 40 s 後の \(\alpha\) 相厚さを求めよ。
  2. 同時点での界面移動速度を求めよ。

与えられた定数:

  • 800 °C における \(\beta\) 相中 D 原子の拡散係数
    \[ D^{\beta}_{\mathrm{D}} = 3 \times 10^{-12}\ \text{m}^2\!\cdot\!\text{s}^{-1} \]

※ 分散酸化物粒子は変態界面の移動を妨げないものとする。

  1. 再結晶(薄箔)

冷間圧延で酸化物粒子と同程度の厚さの非常に薄い箔を作製し、それを \(\alpha\) 単相域の高温で保持したところ、酸化物微粒子を核とした再結晶が起こり、10 s で 99 % 完了した。 - すべての微粒子が潜伏時間なく再結晶核として作用する。
- 再結晶粒の成長速度は一定である。
この条件下で \(\alpha\) 相再結晶粒の成長速度を求めよ。

  1. 核生成におけるオストヴァルト熟成の量的モデルは、 \[ \langle R \rangle^3 - \langle R \rangle^3_0 = \frac{8 \gamma c_\infty v^2 D}{9R_gT}t \]

らしい。詳しい話はわからない。

  1. Zenerの直線勾配近似 \[ \begin{aligned} \xi &= \alpha t \\ \alpha &= \frac{\sqrt{D_C}(C_m - C_0)}{\sqrt{(C_m-C_p)(C_0-C_p)}} \\ \end{aligned} \] ここで、\(C_m\) は界面母相側の溶質濃度、\(C_0\) は溶質平均濃度、\(C_p\) は界面新相側の溶質濃度である。これについても詳しくはわからない。

  2. Section 1.6 の若干の変形をした形を使う。

  1. \[ \begin{aligned} 30^3 - 3^3 &= k \times 10 \\ k &= \frac{30^3 - 3^3}{10} = 26.997 \times 10^6 \mathrm{\mu m^3 \cdot s^{-1}} \\ \sqrt[3]{3^3 + 200k} &= 81.41 \mathrm{\mu m} \end{aligned} \]
Show Code
import numpy as np

# 定数
d_0 = 3 # μm
d = 30 # μm
t = 10 # s

# 計算
k = (d**3 - d_0**3) / t
d_avg = np.cbrt(d_0**3 + 200 * k)

print(f"平均粒径: {d_avg:.2f} μm")
平均粒径: 81.41 μm
  1. \[ C_m = 0.62,\ C_0 = 0.22,\ C_p = 0.02 \] \[ \begin{aligned} \alpha &= \frac{\sqrt{D_C}(C_m - C_0)}{\sqrt{(C_m-C_p)(C_0-C_p)}} \\ &= \frac{\sqrt{3 \times 10^{-12}}( 0.62 - 0.22)}{\sqrt{(0.62-0.02)(0.22-0.02)}} \\ &= 2.00 \times 10^{-6} \mathrm{m \cdot s^{-1/2}} \\ \xi &= \alpha \sqrt{t} = 2.0 \times 10^{-6} \times \sqrt{40} = 1.26 \times 10^{-4} \mathrm{m} \\ &= 0.126 \mathrm{mm} \\ v &= \dv{\xi}{t} = \frac{1}{2} \alpha \frac{1}{\sqrt{t}} = 1.58 \times 10^{-7} \mathrm{m \cdot s^{-1}} \end{aligned} \]
Show Code
import numpy as np

# 定数
D_C = 3e-12 # m^2/s
C_m = 0.62
C_0 = 0.22
C_p = 0.02

# 計算
alpha = np.sqrt(D_C )* (C_m - C_0) / np.sqrt((C_m - C_p) * (C_0 - C_p))
xi = alpha * np.sqrt(40)
v = alpha / 2 / np.sqrt(40)

print(f"α: {alpha:.2e} m/s^1/2")
print(f"ξ: {xi:.2e} m")
print(f"v: {v:.2e} m/s")
α: 2.00e-06 m/s^1/2
ξ: 1.26e-05 m
v: 1.58e-07 m/s
  1. 問題文にある通り、2次元での成長のことを考えているわけだから、簡単に考えるために初期の総面積を1とする。面積に対して \(V\) という変数を使うのを厭わずに続けると、 \[ f = 1 - \exp \left( - V_\mathrm{ex} \right) \] ここで、\(V_\mathrm{ex}\) は、再結晶によってどれだけの面積が増えたか、という値なので、面積1あたりの粒子の数 \(N_s\) に粒子の面積 \(\pi R^2\) をかけた値になる。 \[ N_s = 3 \times 10^{17} \mathrm{m}^{-3} \times 100 \times 10^{-9} \mathrm{m} = 3 \times 10^8 \mathrm{m}^{-2} \] これらをまとめれば、 \[ \begin{aligned} 0.99 &= 1 - \exp \left( - N_s \pi R^2 \right) \\ R &= \sqrt{-\frac{\ln 0.01}{N_s \pi}} \\ &= 7.0 \times 10^{-5} \mathrm{m} \end{aligned} \]
Show Code
import numpy as np

# 定数
f = 0.99
N_s = 3e8  # 3e17 * 100e-9 = 3e8 m^-2 (面積密度に変換)

# 計算
R = np.sqrt(-np.log(1-f) / (N_s * np.pi))

print(f"R: {R:.2e} m")
R: 6.99e-05 m

ここで、成長までに \(10 \mathrm{s}\) かかっていて、さらに成長速度一定だというので、成長速度は、 \[ \begin{aligned} G &= \frac{R}{t} = \frac{7.0 \times 10^{-5} \mathrm{m}}{10 \mathrm{s}} = 7.0 \times 10^{-6} \mathrm{m \cdot s^{-1}} \end{aligned} \] である。

2021年度

問1

表面エネルギーは表面の1原子あたりの未結合数(Broken bond数)を考えることで推定できる。結晶構造が fcc の(111)面が表面に出ている場合の Broken bond 数を求めよ。また、fcc の(111)面の表面エネルギーが \(1.0 \mathrm{J \cdot m^{-2}}\) の場合,(110)面の表面エネルギーを推定せよ。

Broken bondの数さえわかれば何とかなるかと。Broken‐bond 数というのは「表面を作るために切り離された、もともとその原子とつながっていた近接結合の本数」を数えたもの。詳しくは、 Ebeid (2017) を参照。

fccの面のbroken bonds数は

Broken bonds数 \(Z\)
(111) 3
(110) 5
(100) 4

これらの面の表面エネルギー \(\sigma\) は、原子あたりの面積を \(\omega\) として、

\[ \sigma \propto \frac{Z}{\omega} \]

となる。ここで、それぞれの面あたりの原子数は、

原子数 \(N=1/\omega\)
(111) \(\frac{4}{\sqrt{3}a^2}\)
(110) \(\frac{2}{\sqrt{2}a^2}\)

となる。これあら、

\[ r = \frac{\sigma_{\mathrm{(111)}}}{\sigma_{\mathrm{(110)}}} = \frac{\frac{Z_{\mathrm{(111)}}}{\omega_{\mathrm{(111)}}}}{\frac{Z_{\mathrm{(110)}}}{\omega_{\mathrm{(110)}}}} = \frac{Z_{\mathrm{(111)}} \omega_{\mathrm{(110)}}}{Z_{\mathrm{(110)}} \omega_{\mathrm{(111)}}} = \frac{3 \times \frac{\sqrt{2}a^2}{2}}{5 \times \frac{\sqrt{3}a^2}{4}} = \frac{4 \sqrt{2}}{5 \sqrt{3}} \approx 0.98 \]

Show Code
import numpy as np

Z111 = 3
Z110 = 5
omega111 = np.sqrt(3) / 4
omega110 = np.sqrt(2) / 2

print(Z111 * omega110 / Z110 / omega111)
0.9797958971132714

よって、

\[ \sigma_{\mathrm{(110)}} = \frac{1}{r} \times 1.0 \mathrm{J \cdot m^{-2}} = 1.02 \mathrm{J \cdot m^{-2}} \]

Back to top