芹香のブログ:セリポンポン 気軽にコメント残してね!
Serika Yuzuki
大学関連
Univ Lecs
2A
材料量子力学
大学関連
Univ Lecs
2A
材料量子力学
材料量子力学
University
2023
Author
Serika Yuzuki
Published
October 10, 2023
Serika Yuzuki
AtCoder
Cargo Compete
template
typical90-01
typical90-02
typical90-03
typical90-04
typical90-05
typical90-06
typical90-07
typical90-08
typical90-09
typical90-10
typical90-11
大学関連
Univ Lecs
2A
統計力学
材料相平衡論
材料統計力学
材料速度論
材料量子力学
3A
セラミックノート
デバイス材料工学
信頼性学
数学
生産プロセス
高分子ノート
3S
固体物性学
材料反応工学
材料強度学
材料電気化学
組織生成論
収容所配布用
数学
数学A
数学B
数学I
数学II
数学III
過去問演習
技術関連
Tech
小説をEPUBに変換するpythonパッケージを作った話
Linkwardenにブックマーク管理を任せる
DockerでMisskeyを立てる
SwiftUIで開発する小説執筆支援アプリ
Quartoで単一ファイルにレンダリングする方法
Debianサーバーを立てた話
Codexを使い始めた件
Swift Packageの読み込みエラー
NordとTailscaleで自宅サーバーを安全に公開する
Time Machine ServerをSambaで作った話
ミスって/boot/efiを消した話
SwiftUI小説アプリ
EditorKitのいじり方をプラグイン形式にする話
小説執筆アプリを作る
Git FlowとGitHub Flow
Protocol Oriented Programming
SwiftUIとAppKitの連携
On this page
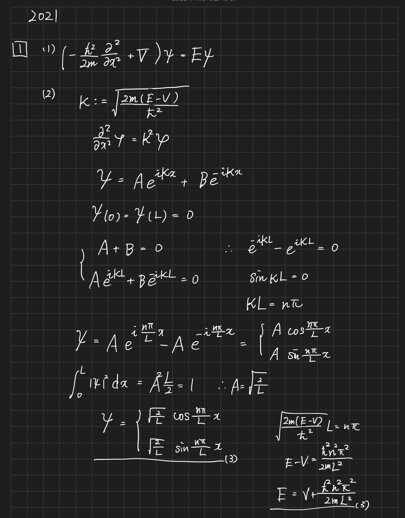
2021
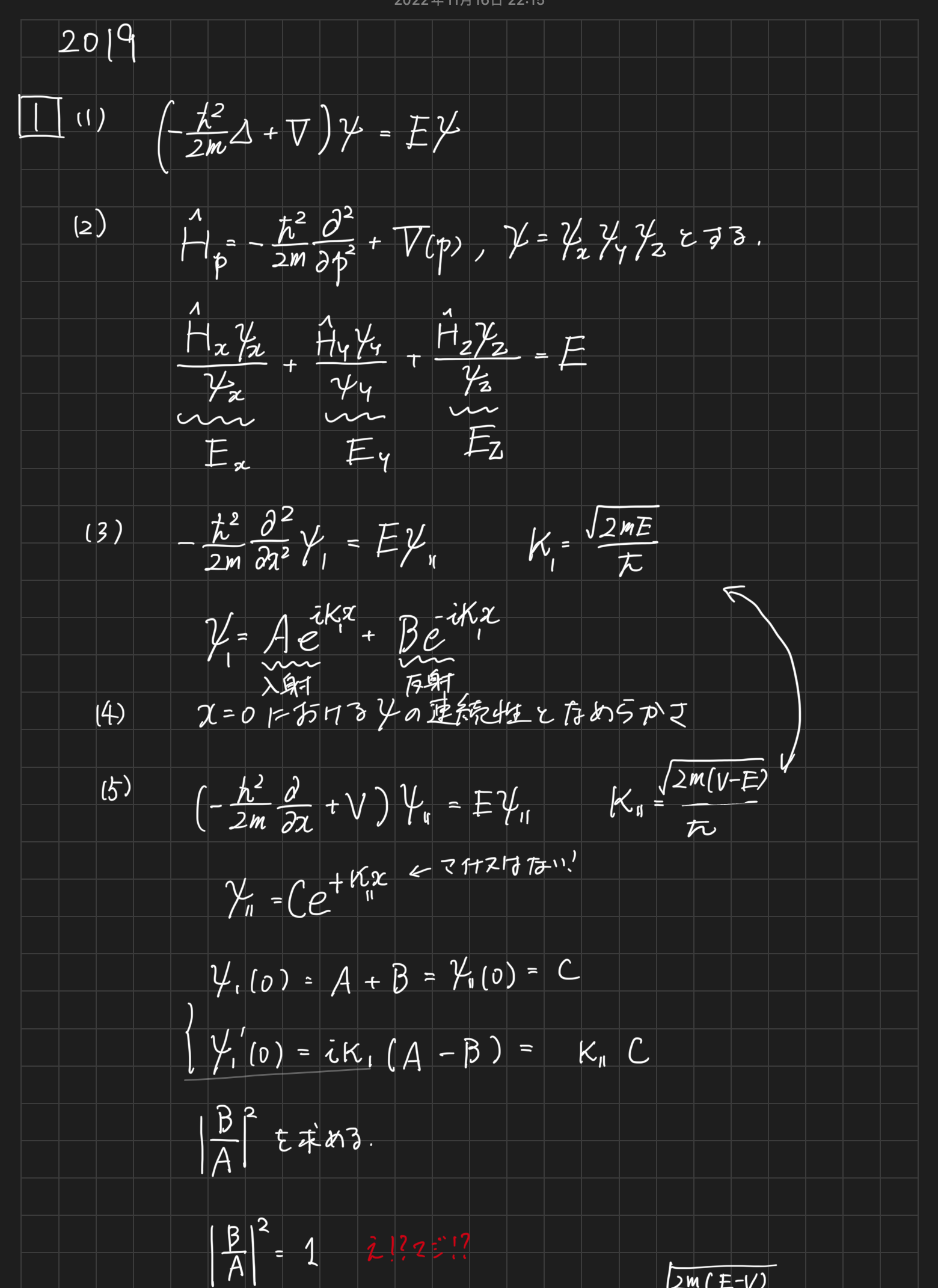
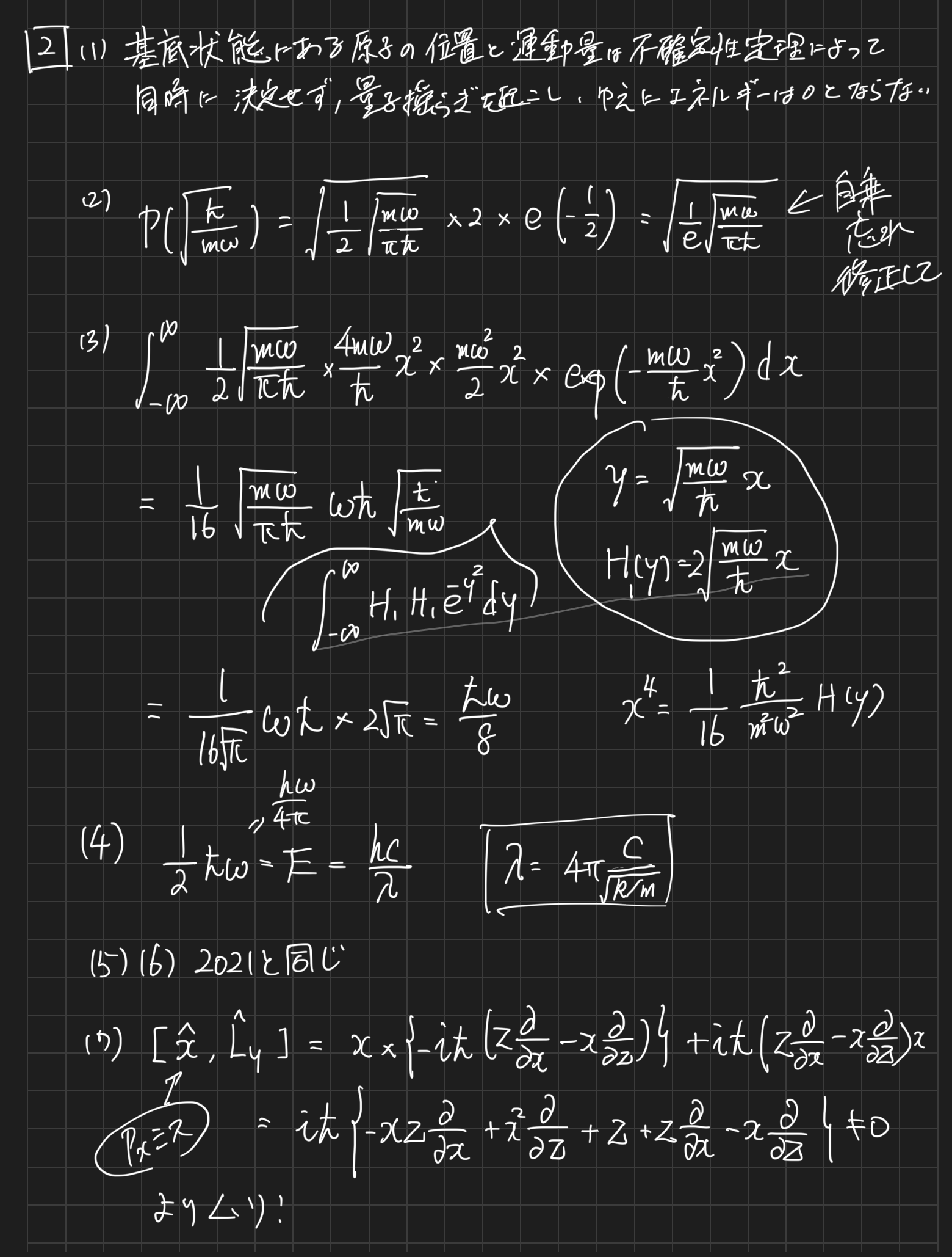
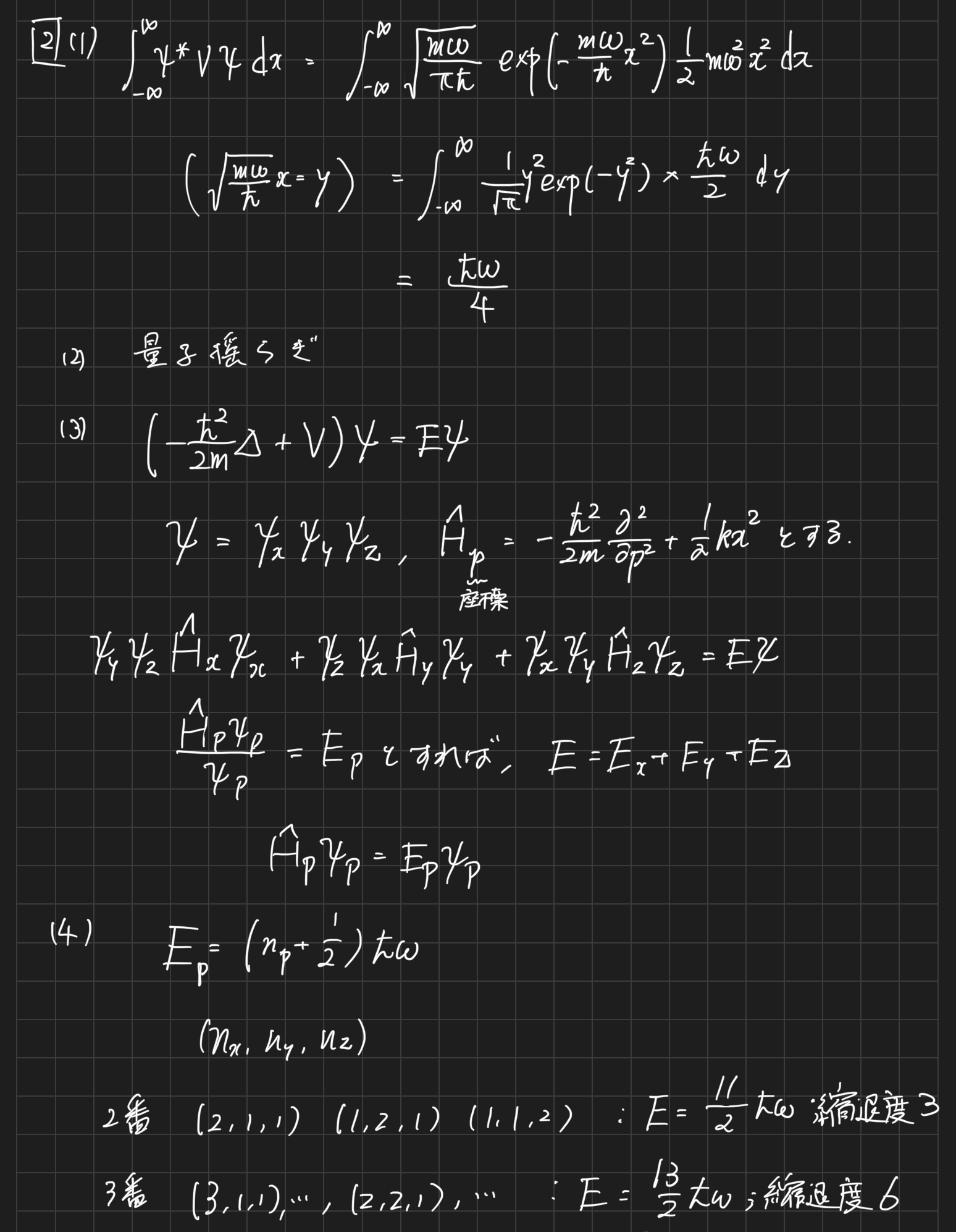
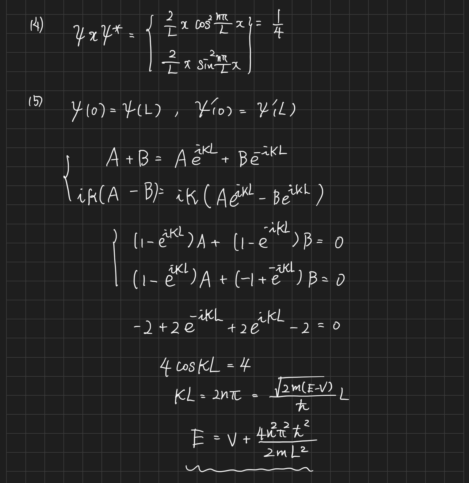
2019
2015
2009
過去問を解いていく。手書きです。
2021
2019
2015
2009
Back to top
材料速度論
セラミックノート